全国spa的论坛,上海干磨水磨论坛,2025年老哥论坛51一品茶楼,深圳布吉佳丽-春风阁

当前位置: 主页 > 知识与标准 > 臭氧知识 > 电、超声、无铁Fenton 氧化技术的区别

电、超声、无铁Fenton 氧化技术的区别

电、超声、无铁Fenton 氧化技术的区别

摘要

电、超声、无铁Fenton 氧化技术的区别 目前,国内外已有大量关于AOPs 的研究与应用案例,涉及不同AOPs 的能耗评价,各种AOPs 产生活性物种的效率比较,总结了各种技术的优缺点,探讨

更新时间:2020-12-29
来源:m.e13u.cn
作者:同林科技
浏览:
关键词: 湿热环境 臭氧尾气处理系统 臭氧实验设备 印染废水脱色实验 常见故障 运维 电晕放电式 测量方法 泳池水处理 臭氧投加量计算 游泳池臭氧消毒 标准泳池 臭氧技术 关键因素 处理效果 臭氧水生成设备 臭氧水实验 臭氧反应时间 臭氧净水工艺 臭氧去除异味 臭氧消毒实验 臭氧饮用水 80g/h 超滤膜曝气 耐高压 臭氧产量区别 抗生素废水降解处理 水处理应用 微细气泡技术 药物合成反应 臭氧特性 MBE 分子束外延 臭氧源 实验室臭氧发生器 显示屏 Atlas-H30 二手臭氧发生器 BMT 802N 空气气源 氧气气源 臭氧尾气破坏装置 ALD设备 分解效率装置 苏伊士 首创集团 臭氧除杂 原理与机制 杂质 碳酸锂浆料 臭氧发生器PLC 3S-J5000臭氧检测仪 3S-KW 管道式 去除新兴污染物 洗车业务 臭氧去除氨 臭氧高级氧化工艺 酚类物质 负压臭氧发生器 臭氧微气泡曝气 清华大学 臭氧化反应 ald臭氧 200g臭氧发生器 菲律宾 海水养殖尾水 微通道 CVD 微通道反应器 工业臭氧解决方案 实验室高压臭氧 Apex P30臭氧设备 微通道膜反应 高压臭氧发生器 选型指南 《环境空气质量标准》 锂电池 臭氧粮仓害虫消杀系统 清洗杀菌 水产品 电耗 O3暴露 臭氧发生一体机 杀菌潜力 低浓度臭氧 风冷 功率 纯臭氧发生器 明电舍 MEIDEN 臭氧清洗 3S-H20 臭氧在水再利用 井水处理 氰化物 臭氧溶解度 瓶装饮用水 游泳池消毒
详细介绍相关案例

电、超声、无铁Fenton 氧化技术的区别

     目前,国内外已有大量关于AOPs 的研究与应用案例,涉及不同AOPs 的能耗评价,各种AOPs 产生活性物种的效率比较,总结了各种技术的优缺点,探讨了运行条件、影响因素、污染物降解机理、·OH 的形成机制等。本文着重介绍Fenton 氧化法从方法原理、影响因素、优缺点、发展方向等方面进行系统地归纳论述,开展了关于理论-技术-应用之间的发展与未来的思考。后面还会分析、臭氧氧化法、光催化氧化法、电化学法氧化、物理氧化法等理论-技术-应用

Fenton 氧化法的基本原理

     目前,Fenton 法广泛应用于医药化工、精细化工、医药卫生、环境污染治理等领域。在废水处理中,Fenton 试剂对污染物的去除机理可分为自由基氧化机理和混凝机理。其中,自由基氧化机理是在酸性条件下,通过Fe2+ 催化H2O2产生·OH,如式( 1) 所示;所生成的·OH 可以加成到有机污染物的碳碳双键、苯环等不饱和键中,也可以通过夺取N—H、O—H、C—H 键上的氢原子生成R·,如式( 2) 所示; 在有氧条件下,R·会快速地与O2结合产生ROO·,ROO·会夺取其他RH 上的H,直至裂解为小分子有机酸或矿化为CO2和H2O,如式( 3) 所示[10]。在这些复杂的自由基反应体系中,存在大量的竞争反应,如式( 4) —( 11) 所示。其中式( 4) —( 6) 表明,Fe3+ 能通过H2O2和HO2·被还原成Fe2+,以此实现Fe2+和Fe3+的部分循环; 但是,由于式( 1) 的反应速率常数远大于式( 4) ,因此仍需不断补充Fe2+ ; 另外,·OH 的淬灭或转化为其他氧化活性较低的自由基( 如HO2·,O2·-等) ,是制约其矿化效率的重要原因,如式( 8) —( 11) 所示:

 

 

  Fenton 氧化技术的影响因素

       Fenton 氧化技术的处理效果主要受温度、pH 值、无机阴离子、Fe2+ 及H2O2浓度的影响。反应动力学表明,升温会提高正、副反应速率,适当升温可激活自由基,但同时也会加快H2O2的分解,一般在30 ℃左右为宜。由式( 1) 可知: 过高的pH 值不利于产生·OH 且会产生Fe ( OH)3沉淀; 当pH < 2 时,Fe2+ 会以[Fe( H2O)6]2+形式存在,据报道该形态与H2O2的反应速率较[Fe( H2O)5OH]2+ 更慢,且过低的pH 值会抑制式( 4) 、式( 5) 的进行,影响Fe2+ 和Fe3+ 循环,pH一般控制在2~4 为宜,很佳pH 值约为3。此外,SO2-4等阴离子可能会与Fe2+、Fe3+ 产生络合,使之不能有效地催化H2O2分解为·OH; Cl-、CO2-3等无机阴离子会参与争夺·OH 生成氧化活性更低的自由基,不利于污染物矿化。

 

      Fe2+及H2O2浓度及比例也会影响·OH 产量。当ρ( Fe2+ ) /ρ( H2O2) >2 时,反应初期以式( 1) 为主要反应,迅速产生大量·OH,其产生速率高于消耗速率,导致过量的·OH 发生积聚或与其他物种发生竞争反应; 当ρ( Fe2+ ) /ρ( H2O2) = 1 时,反应初期以式( 1) 和式( 4) 为主,由于·OH 与有机物的反应速率高于H2O2或Fe2+,因此抑制了式( 8) —( 9) 的进行。当ρ( Fe2+ ) /ρ( H2O2) <<1 时,由于缺乏Fe2+,·OH 产生量少,而且H2O2对·OH 具有淬灭作用。

 

Fenton 氧化技术的优缺点

     Fenton 氧化技术兼具凝聚作用,无须外界额外提供能量,操作简便,可控性强,具有经济性。但传统Fenton 法的·OH 产生速率低,体系中存在大量的竞争反应; 该技术需要在酸性条件下进行,出水需要调至中性,导致消耗大量药剂,增加处理费用,同时产生大量铁泥,增加了出水COD、色度并造成二次污染的风险,运输和储存H2O2需要较高的费用,存在安全风险。

 

Fenton 氧化技术的发展

      针对传统Fenton 法的缺陷,学者们把光场、电场、超声波等引入Fenton 体系,并研究其他可能替代Fe2+ 的过渡金属,如铈、钴、锰、铜等。目前,类Fenton 技术主要包括光Fenton 法、电Fenton 法、超声Fenton 法及无铁Fenton 法。

1 .光Fenton 法

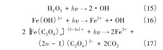
     Ruppert 等首次将近紫外光引入Fenton 体系,发现近紫外光或可见光可大幅提高4-CP 的去除效率,证明光辐射可提高·OH 的生成速率,加快污染物降解效率。光Fenton 氧化机理认为: 在λ <300 nm的光照条件下,H2O2将发生光解产生·OH,该反应可提高H2O2的利用率,如式( 15) 所示; Fe3+ 络合物在紫外或近紫外光照下发生光还原,产生Fe2+ 和·OH,其光量子产率与照射波长有关,该反应不但可提高·OH 产量,还将加快体系中Fe3+ 和Fe2+ 的循环,减少Fe2+的投加量,如式( 16) 所示; 此外,紫外或可见光辐射还可以诱导某些污染物与Fe3+ 的络合物发生光降解,如式( 17) 所示]:

 

 

     在应用方面,Feng 等在光照条件下,使用黏土负载铁的纳米复合材料催化H2O2对活性红废水进行脱色、矿化,初始浓度为100 mg /L 的活性红废水在很优条件下处理30 min 即可完全脱色,2h 时TOC 去除率可达76%。Elmolla 等在n( COD) ∶ n( H2O2) ∶n( Fe2+ ) 为1 ∶ 3 ∶ 0. 3,pH= 3, 365 nm 紫外光照射下,降解104 mg /L 阿莫西林、105 mg /L 氨比西林、103 mg /L氯洒西林,2min 内可实现抗生素的完全降解,10 min 内B /C 值由0 上升至0. 37,50 min 后,COD、DOC 去除率分别为80. 8%和58. 4%。Malato等探究了光催化降解敌草隆、吡虫啉、杀螨脒和灭多威,在30 W/m2 光照,维持H2O2、Fe2+ 浓度分别为15, 0. 05 mol /L 的条件下,4 种农药达到TOC 降解率90%时,所需时间分别为159,187,105,368 min。Hermosilla 等分别采用Fenton 和光Fenton 处理垃圾渗滤液,在优化条件下,二者均能达到70%的COD和TOC 去除率,但传统Fenton 法需多消耗32 倍的铁盐,且产生更多的铁泥。

 

     在实际工程应用中,光Fenton 法比传统Fenton法更高效,比电Fenton 法更为节能,对有机物的降解速率比非均相光催化反应高3 ~ 5 倍。但该技术仍存在一些问题,例如光利用率不高; 由于Fe3+ 与有机物的络合物不易吸收光子,故只适宜处理中低浓度废水。因此,可通过研究光活性强的物种,如Fe3+ 和草酸络合物、Fe3+和柠檬酸络合物等,或联合电场、超声波等,以及结合新型反应器,以提高光能利用率和污染物降解的效能。

 

 2 .电Fenton 氧化技术

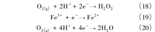
电Fenton 氧化技术利用电化学方法产生H2O2,加速还原Fe3+来强化Fenton 氧化。其特点是在阳极产生ROS 或直接氧化污染物; 在供氧、酸性介质条件下,于阴极原位产生H2O2,并将Fe3+ 还原为Fe2+,分别如式( 18) —( 19) 所示。其中,式( 18) 的标准电位( E0 = 0. 695 V/SHE) 低于四电子还原的竞争反应( 见式( 20) ) ( E0 = 1. 23 V/SHE) ,因此式( 18) 优先进行:

 

 

     Liu 等将纳米铁负载在活性炭纤维表面作为阴极,在中性条件下通以1. 2 V 的电压,将ρ( COD)为200 mg /L 的城市污水处理2 h 后降到70 mg /L,COD 去除率达到65%。方建章等以石墨为电极,阴极表面通入纯氧原位产生H2O2,以Na2SO4

溶液为电解质,加入0. 5 g /L 的FeSO4·7H2O,在pH = 2. 5,E = 6 V 条件下,降解酸性铬兰K 染料废水,处理1 h后,脱色率和COD 去除率分别为74. 1%、57. 9%; 处理2 h 后,脱色率和COD 去除率分别为92. 9%、71. 3%。Kurt 等采用牺牲阳极的电Fenton 氧化降解ρ( COD) 为2810 mg /L 的制革废水,比较了不同pH、H2O2剂量、电功率条件下COD 去除率及能耗情况,发现pH = 3 时处理效果很佳,COD 去除率超过70%,而在中性条件下COD 去除率> 60%; 在ρ( H2O2) 为1670 mg /L,电功率为15 W 的中性介质下,处理10 min 后COD 去除率达到58%,电耗为3. 8 kW·h /kg( COD) 。

 

     相较于传统Fenton 技术,电Fenton 技术的优势在于利用电能和氧气原位产生H2O2,避免了H2O2运输与储存; 同时,可在阴极将Fe3+ 还原为Fe2+,节省Fe2+的投加量; 而向阴极曝气( 氧气或空气) 也能起到搅拌作用; 另外,除了自由基氧化之外,还存在阳极氧化、电吸附、电絮凝等,协同作用显著提高了去除有机物的能力。但是,电Fenton 技术仍存在一些缺陷,例如,受制于气体在电解液中的传质,H2O2的生成速率低; 受制于竞争反应,产生H2O2的极限电流密度为6. 4 A/m2; 对pH 值要求苛刻等。针对这些缺陷,应着重研究比表面积大、能高效电催化氧气原位产生H2O2的新型电极,如多孔石墨、活性炭纤维等;发展能效更高的三维电极电Fenton 技术及其反应器。另外,关注如何扩大适用pH 值范围,如通过络合剂对Fenton 试剂进行改性、采用过硫酸盐代替H2O2等。

 

 3 . 超声Fenton 氧化技术

将超声波( 20~1700 kHz) 与Fenton 法结合,可加快H2O2分解为·OH 的速率,如式( 21) 所示。此外,超声空化作用对污染物有一定降解作用,且能促进体系介质的混合与传质,该技术可运用于处理诸多难生物降解污染物,如有机染料、药物等。

H2O2 + US →2·OH ( 21)

 

戴丽雅等应用该技术处理工业染料中间体废水,考察了pH、温度、超声波功率、ρ( Fe2+ ) /ρ( H2O2)等条件对COD 去除的影响,在很佳条件下反应40 min后,COD 降解率为92. 26%,色度由800 倍降为1 倍。Ma 等分别采用超声和超声Fenton 降解浓度为20 mg /L 的卡巴呋喃废水,超声降解2 h 后,卡巴呋喃的降解率超过40%,但是TOC 去除率<15%,说明大部分卡巴呋喃被氧化为中间体,而用超声Fenton 法处理30 min 后卡巴呋喃的降解率为大部分,且TOC 去除率高于40%。

 

 

4 .无铁Fenton 氧化技术

     制约Fenton 法发展的因素之一为酸性介质条件,该因素也被视为其突破点之一。为了满足催化剂和H2O2之间的电子转移,优先考虑将多价态,沉淀pH 范围较高,且高价态可以充当H2O2氧化剂、低价态可以充当H2O2还原剂的元素作为理想Fenton 催化剂。目前,可满足上述条件的元素有Ce、Cr、Co、Cu、Mn、Al 等,其中,Ce、Cr、Cu 成为催化反应的关键循环步骤,分别如式( 22) —( 28) 所示。这些元素可在中性甚至碱性条件下催化H2O2分解为·OH。

 

 

     在应用方面,Gabriel 等采用无铁Fenton 技术处理含PAHs 废水,催化剂CuSO4浓度为10 mmol /L,且氧化剂H2O2浓度为0. 1 mol /L 时,降解浓度均为10 mmol /L的菲、荧蒽和芘,结果发现,在室温下处理24 h,3 种PAHs 的降解率均超过80%。Ben-Moshe等研究了纳米级CuO 对H2O2的催化活性并用于去除有机污染物,结果表明,在c( H2O2) 为0. 05 mol /L 和pH= 4 ~ 9 时,处理20 min 后即可完全降解浓度约为500 μg /L 的菲和35 mg /L 的甲草胺。Fathy等采用MnO2 /MWCNT 纳米复合催化剂催化H2O2降解RB19 染料废水,在催化剂用量为0. 2 g /L、pH=6 条件下,处理2 h 后可将浓度为50 mg /L 的RB19染料完全降解。

 

     目前,金属溶出和毒性是制约某些元素如Cr、Cu 等作为Fenton 催化剂大规模应用的重要因素。因此,发展稳定难溶出、催化活性高、使用pH 范围宽的非均相催化剂,是Fenton 系统可持续发展的方向,如MOFs、金属负载的活性炭、沸石或石墨烯等。

文章引自:第38 卷第2 期2020 年2 月

第一作者: 叶国杰( 1996-) ,男,硕士研究生,研究方向为高级氧化技术中高效催化剂及反应器设计。

 通信作者: 韦朝海( 1962-) ,男,教授,博士生导师,研究方向为水污染控制理论与技术。