全国spa的论坛,上海干磨水磨论坛,2025年老哥论坛51一品茶楼,深圳布吉佳丽-春风阁

当前位置: 主页 > 知识与标准 > 臭氧知识 > 臭氧与有机物是如何反应的呢

臭氧与有机物是如何反应的呢

臭氧与有机物是如何反应的呢

摘要

臭氧与有机物是如何反应的呢 臭氧具有强氧化性,在酸性条件下,它的标准氧化还原电位为+2.07V,在自然界中仅低于F2(+2.87V),高于Cl2(+1.36V)和C1O?(+1.50V)。臭氧能杀灭细菌、病

更新时间:2022-01-26
来源:m.e13u.cn
作者:同林科技
浏览:
关键词: 湿热环境 臭氧尾气处理系统 臭氧实验设备 印染废水脱色实验 常见故障 运维 电晕放电式 测量方法 泳池水处理 臭氧投加量计算 游泳池臭氧消毒 标准泳池 臭氧技术 关键因素 处理效果 臭氧水生成设备 臭氧水实验 臭氧反应时间 臭氧净水工艺 臭氧去除异味 臭氧消毒实验 臭氧饮用水 80g/h 超滤膜曝气 耐高压 臭氧产量区别 抗生素废水降解处理 水处理应用 微细气泡技术 药物合成反应 臭氧特性 MBE 分子束外延 臭氧源 实验室臭氧发生器 显示屏 Atlas-H30 二手臭氧发生器 BMT 802N 空气气源 氧气气源 臭氧尾气破坏装置 ALD设备 分解效率装置 苏伊士 首创集团 臭氧除杂 原理与机制 杂质 碳酸锂浆料 臭氧发生器PLC 3S-J5000臭氧检测仪 3S-KW 管道式 去除新兴污染物 洗车业务 臭氧去除氨 臭氧高级氧化工艺 酚类物质 负压臭氧发生器 臭氧微气泡曝气 清华大学 臭氧化反应 ald臭氧 200g臭氧发生器 菲律宾 海水养殖尾水 微通道 CVD 微通道反应器 工业臭氧解决方案 实验室高压臭氧 Apex P30臭氧设备 微通道膜反应 高压臭氧发生器 选型指南 《环境空气质量标准》 锂电池 臭氧粮仓害虫消杀系统 清洗杀菌 水产品 电耗 O3暴露 臭氧发生一体机 杀菌潜力 低浓度臭氧 风冷 功率 纯臭氧发生器 明电舍 MEIDEN 臭氧清洗 3S-H20 臭氧在水再利用 井水处理 氰化物 臭氧溶解度 瓶装饮用水 游泳池消毒
详细介绍相关案例
臭氧与有机物是如何反应的呢
 
        臭氧具有强氧化性,在酸性条件下,它的标准氧化还原电位为+2.07V,在自然界中仅低于F2(+2.87V),高于Cl2(+1.36V)和C1O?(+1.50V)。臭氧能杀灭细菌、病毒等微生物,还能氧化多种有机物和无机物,因此,被广泛用于饮用水消毒和污水深度处理。
臭氧与有机物的反应主要包括两种方式:
①加氧反应,臭氧分子加成在碳碳双键上生成环氧加成物,碳碳双键变为碳碳单键,随后碳碳键断裂生成相应的炭基、羟基氧化物,如臭氧与烯烃反应生成1,3-环加成物(Criegee机制);
②夺氢反应,臭氧夺取有机烃中的氢原子,破坏其结构稳定性,如臭氧使甲酸根离子脱氢,使它矿化为二氧化碳。
 
臭氧在水溶液中是不稳定的,容易发生分解反应并产生氧化能力更强的羟基自由基(·OH,E。=+2.33V)。羟基自由基非常活泼,与有机物的反应速率常数普遍在10?(n=8)~10?(n=9)L/(mol?8),可对溶液中的有机污染物进行快速、彻底、无选择性地降解。相对于臭氧分子与有机物的直接氧化反应外,羟基自由基与有机物的氧化反应被称为臭氧的间接氧化反应。
 
羟基自由基与有机物的反应主要包括两种模式:①加成反应,羟基自由基在有机物的碳碳双键、碳氮双键、硫氧双键上加成,生成羟基化产物或富氧中间体,是很常见的反应方式,反应速率非??欤咏诶┥⒖刂?;②夺氢反应,羟基自由基与较弱的碳氢单键、硫氢单键反应,夺取其中氢原子。
 
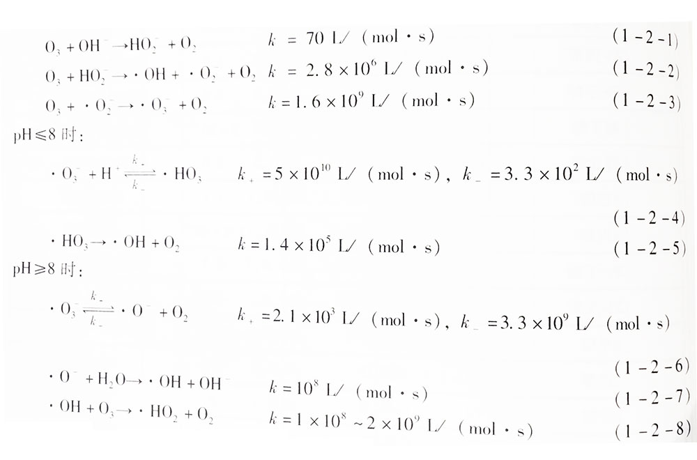
在Staehelin 和Hoigne的开创性工作中,很早提出了臭氧分解反应的引发剂、促进剂、终止剂的概念。氢氧根离子(OH¯)是很重要的引发剂之一,因此臭氧在碱性签液中非常不稳定。OH¯引发臭氧分解的过程可用以下几个反应式表示:
 
O3与OH¯发生反应式(1-2-1)的速率并不快,可是该反应一旦被引发并生成HO?¯,后续一系列的自由基生成、转化反应发生地非常迅速,逐级快速传递下去,因此,臭氧分解反应也称为链式分解反应。在链式反应中,?O2¯、?O3¯、?HO?,?HO?,?OH之间的相互转化促使链反应持续进行。
 
除了OH¯,溶液中还有其他物质可以生成HO?¯、?O?¯,也可引发臭氧链式分解反应,如H?O?、腐殖质、无机金属离子(Fe²+、Co²+、Mn²+)等。相关反应式如下:
H?O?→HO?¯,+H+(1-2-9)
HS+O?,→HS+  + ?O?¯.(1-2-10)
Fe²+ +O?,→Fe³+ +?O?-(1-2-11)
 
如果水溶液中的某些物质可以与O??;?middot;OH反应并生成·O?-,则上述链式反应中的自由基被不断再生,链式反应可持续进行下去。这类物质被称为臭氧分解反应的促进剂,包括脂肪醇、芳烃、甲酸盐、腐殖质等。其中,甲醇是典型的促进剂,它的促进过程可用以下反应式表示:
CH?OH+O?→·OOCH?OH+·OH(1-2-12)
.OOCH?OH→CH?O+·HO?(1-2-13)
.OOCH?OH+OH→CH?O+H?O+·O?-(1-2-14)
反之,若溶液中的某些物质与自由基反应后不再生成自由基,则链反应会停止,这类物质被称为臭氧分解反应的终止剂,包括叔丁醇、CO?²¯、HCO?¯、NO?¯等。
摘自:《低浓度有机废水强化臭氧氧化 - 原理、技术与应用》一书