全国spa的论坛,上海干磨水磨论坛,2025年老哥论坛51一品茶楼,深圳布吉佳丽-春风阁

当前位置: 主页 > 知识与标准 > 臭氧知识 > 比较非均相臭氧催化氧化和均相臭氧氧化的特点?

比较非均相臭氧催化氧化和均相臭氧氧化的特点?

比较非均相臭氧催化氧化和均相臭氧氧化的特点?

摘要

比较非均相臭氧催化氧化和均相臭氧氧化的特点? 在前面文章中介绍了 Fenton 氧化技术 、 臭氧氧化法 的原理,本文继续介绍 臭氧氧化法的发展-非均相臭氧催化氧化和均相臭氧氧化 。

更新时间:2021-01-04
来源:m.e13u.cn
作者:同林科技
浏览:
关键词: 湿热环境 臭氧尾气处理系统 臭氧实验设备 印染废水脱色实验 常见故障 运维 电晕放电式 测量方法 泳池水处理 臭氧投加量计算 游泳池臭氧消毒 标准泳池 臭氧技术 关键因素 处理效果 臭氧水生成设备 臭氧水实验 臭氧反应时间 臭氧净水工艺 臭氧去除异味 臭氧消毒实验 臭氧饮用水 80g/h 超滤膜曝气 耐高压 臭氧产量区别 抗生素废水降解处理 水处理应用 微细气泡技术 药物合成反应 臭氧特性 MBE 分子束外延 臭氧源 实验室臭氧发生器 显示屏 Atlas-H30 二手臭氧发生器 BMT 802N 空气气源 氧气气源 臭氧尾气破坏装置 ALD设备 分解效率装置 苏伊士 首创集团 臭氧除杂 原理与机制 杂质 碳酸锂浆料 臭氧发生器PLC 3S-J5000臭氧检测仪 3S-KW 管道式 去除新兴污染物 洗车业务 臭氧去除氨 臭氧高级氧化工艺 酚类物质 负压臭氧发生器 臭氧微气泡曝气 清华大学 臭氧化反应 ald臭氧 200g臭氧发生器 菲律宾 海水养殖尾水 微通道 CVD 微通道反应器 工业臭氧解决方案 实验室高压臭氧 Apex P30臭氧设备 微通道膜反应 高压臭氧发生器 选型指南 《环境空气质量标准》 锂电池 臭氧粮仓害虫消杀系统 清洗杀菌 水产品 电耗 O3暴露 臭氧发生一体机 杀菌潜力 低浓度臭氧 风冷 功率 纯臭氧发生器 明电舍 MEIDEN 臭氧清洗 3S-H20 臭氧在水再利用 井水处理 氰化物 臭氧溶解度 瓶装饮用水 游泳池消毒
详细介绍相关案例

比较非均相臭氧催化氧化和均相臭氧氧化的特点?

 

在前面文章中介绍了Fenton 氧化技术、臭氧氧化法的原理,本文继续介绍臭氧氧化法的发展-非均相臭氧催化氧化和均相臭氧氧化。

 

结合物理场和投加均相或非均相催化剂可强化O3分解为自由基。其中,电场、光辐射等物理场向O3提供能量,使其激发分解为自由基,还可通过非均相或均相催化剂催化O3分解。

 

 均相臭氧催化氧化法

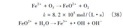
Hewes 等发现,在Fe2+、Mn2+、Ni2+ 或者Co2+ 存在下,TOC 去除率比O3单独氧化时更高。Bhat 等利用针铁矿催化O3氧化氯苯,发现比单独氧化更为高效。这些发现引起了人们对臭氧催化剂的广泛关注。目前,均相臭氧催化剂主要是一些过渡金属,如Cu2+、Zn2+、Fe2+、Mn2+、Ni2+、Co2+ 等。均相催化O3的机理主要有2 类。一类是金属离子直接催化O3分解,通过一系列电子转移过程产生·OH。例如,以Fe2+ 作为催化剂时,它会与O3形成中间体FeO2+,与H2O 产生·OH,也可将Fe2+氧化为Fe3+,如式( 38) —( 40) 所示。Mn2+、Co2+、Ni2+催化O3的过程如式( 41) —( 46) 所示:

 

 

通过比较不同金属对O3的催化过程,Wu 等总结了过渡金属均相催化O3的总反应式,如式( 47)所示; 当催化剂过量时,反而会淬灭·OH 降低氧化效率,如式( 48) 所示。

 

 

另一类均相催化O3机理是金属离子与有机物或者O3进行配位反应而促进O3和有机物的反应。Pines 等在pH = 6 时,采用Co2+ 催化O3氧化草酸时发现存在另一种非自由基的反应路径: 首先形成CoC2O4的络合物,再由O3氧化为Co( C2O4) +,该中间体易分解为Co3+ 和C2O-4·,被O3、O2等氧化,如式( 49) —( 52) 所示:

 

 

与其他O3氧化法类似,均相催化O3的反应路径及氧化效率与介质pH、臭氧浓度、催化剂投加量有关。一般地,均相催化反应的效率高于非均相催化反应,但由于均相催化剂主要以溶解态存在,回收难度大,需不断补充,一些催化剂流失可能会带来新的环境风险。

 

 

非均相臭氧催化氧化法

多年来,非均相催化剂的研究一直是O3氧化领域的热点。通常,非均相臭氧催化剂可分成金属氧化物( CuO、Fe2O3、MnO2、Al2O3等) 、碳基材料( CNTs、石墨烯等) 、矿物质、黏土、蜂窝陶瓷及以上材料的相互耦合。红外测试表明: 低温下O3在氧化物表面存在物理吸附、与表面质子化羟基形成氢键或静电吸附、与Lewis 位点发生化学吸附形成表面氧原子。

 

目前,非均相催化O3机理可分为自由基介导和非自由基介导,前者又可进一步分为自由基机理、氧空位机理、表面氧自由基机理等,后者主要指络合机理。自由基机理认为,O3与氧化物表面羟基发生吸附分解产生·O-2和HO2·,并通过电子转移生成·OH氧化有机分子,如式( 53) 、( 33) 、( 36) 、( 37) 所示,CeO2、Al2O3等遵循该机理。

 

 

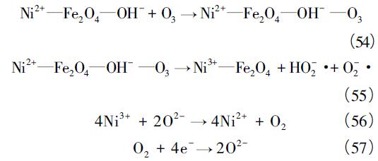
氧空位机理认为,金属氧化物表面存在许多晶格缺陷,这些缺陷可能影响O3的分解路径,其中,磁性多孔尖晶石结构MeFe2O4含有大量氧空位( Me 为金属元素,有Ni、Mn、Co 等) 。以NiFe2O4为例,当O3在氧化物表面发生化学吸附时,部分Ni2+ 被氧化为Ni3+,并产生HO-2·与·O-2,通过电子转移产生·OH,晶格氧将Ni3+还原为Ni2+,自身变成O2,形成空穴,在富氧条件下,空穴导电将O2还原为晶格氧,完成循环,如式( 54) —( 57) 所示:

 

表面氧自由基机理认为,对于n 型氧化物,O3在其表面吸附会生成氧自由基,其标准氧化电位为2. 42 V,高于O3,有助于氧化有机分子。

 

络合机理认为,因过渡金属具有空的d 轨道,而大部分有机物含有苯环、双键等电子云密度高的官能团,二者间易于形成金属有机配合物,O3与配合物反应而实现有机分子的氧化。例如,采用CeO2负载CuO 处理草酸时发现Cu( Ⅱ) 会与C2O2-4形成络合物,二价铜草酸络合物被O3氧化为极不稳定的三价铜草酸络合物,在配体分子内发生电子转移重新形成Cu( Ⅱ) 并产生强还原性的C2O-4·,被O2、O氧化,如式( 58) —( 60) 所示:

 

 

可见,非均相臭氧催化剂表面的活性位点为Lewis 位点和表面含氧官能团,如表面羟基??煽匦缘鹘谡? 种催化位点被认为是臭氧催化剂研究的前沿方向之一。研究发现,通过Ti 掺杂可提高γ-Al2O3催化剂表面Lewis 位点强度,原因是Al-O-Ti 键的生成,由于Al 的电负性强于Ti,Al-O-Ti 键的电子云密度偏向Al,使Ti 表现出缺电子特性,Ti 的价态由掺杂前+3 上升为掺杂后的+4,即增强了表面Lewis 位点强度。

 

在实际工程中,该技术表现出较强的应用潜力。洪浩峰等将CuO、NiO 等金属氧化物负载在蜂窝陶瓷、活性炭、活性氧化铝等载体上催化O3氧化印染废水,发现采用活性炭负载Fe、Cu、Mn、Ni、Ba 的氧化物处理该废水均有效果,载铁型催化剂活性较高,在O3浓度为10 mg /L,pH = 6 的条件下,处理1 h 后,COD 去除率达到86%,且重复使用12 次后,去除率仍可达到86%。Zhang 等将焦化污泥制成生物炭催化O3降解0. 1 L 浓度为0. 2 g /L 的苯酚废水,在催化剂量为1 g /L,O3浓度和流量分别为14 mg /L 和1 L /min 的条件下处理0. 5 h,苯酚降解率可达95. 4%,而O3单独降解率仅为58. 2%。Wu 等采用CTAB 修饰后的NiO 催化氧化焦化废水的生物出水,在pH= 7. 1,ρ( O3) 为30 mg /L,流量为1 L /min,催化剂投加量为2 g /L,ρ( COD) 为90 mg /L,ρ ( TOC) 为30 mg /L 的条件下,处理1 h 后UV254降低97%,7 h后TOC 去除率达到100%,且催化剂在连续重复使用5次后,矿化率依然在95%以上。Martins 等 采用Mn-Ce-O 及N-150 催化O3降解制药废水中的新诺明和双氯灭痛,相比于O3单独降解,每毫克O3可处理的COD 量由0. 067 mg 增至0. 10 mg。

 

非均相臭氧催化技术受催化剂及其表面性质、pH、有机分子的性质等因素影响。催化剂性质如晶胞大小、比表面积、表面活性位点的数量以及零电点等,主要受制备方法及条件的影响。Zhang 等分别采用水热法和溶胶凝胶法合成ZnFe2O4用于降解苯酚废水,发现水热法制备的ZnFe2O4具有更大的比表面积和更强的催化活性,在pH= 6. 38,ρ( O3) 为14 mg /L,流量为1 L /min,ρ( 苯酚) 为300 mg /L 的条件下,O3单独氧化处理0. 5 h 后,苯酚去除率达到63. 4%;在相同条件下,采用溶胶凝胶法制备的催化剂催化氧化苯酚后,其去除率并无显著提高,而采用水热法制备的ZnFe2O4催化氧化后,苯酚去除率高达92. 6%。

 

pH 影响非均相催化反应的路径。Beltrán 等研究发现,当pH = 2 ~ 6 时,O3在催化剂表面吸附分解为氧原子,与H2O 生成·OH,若以S 代表催化剂表面的活性位点,反应如式( 61) —( 64) 所示。当pH>6时,体系中OH-在催化剂上形成表面羟基,进而催化O3生成·OH,反应如式( 65) —( 68) 所示。另外,体系pH 与催化剂的零电点( pHPZC) 之间的关系将影响催化剂表面羟基形态及O3吸附。当pH <pHPZC,催化剂表面羟基发生质子化,主要以—OH+2的形式存在,更有利于O3吸附; 当pH>pHPZC,催化剂表面羟基发生去质子化,主要以—O- 的形式存在,分别如式( 69) —( 70) 所示:

 

 

相较于均相臭氧催化剂,非均相臭氧催化剂具有容易回收、可重复利用、成本较低、改良空间大等优点,在去除难生物降解的有机污染物方面极具应用潜力。

 

目前,臭氧氧化技术的发展方向是增强O3传质以提高利用率,以及提高O3转化为·OH 的效率。从宏观上,体现为新型臭氧反应器和催化剂的研发。新型反应器的开发方面,主要围绕O3的原位产生、气体的均匀分布、梯级利用及微气泡应用。催化剂方面,集中在金属氧化物、分子筛或碳基材料的掺杂以及催化材料的形貌调控,如在沸石负载铈、铁、锰等氧化物,金属掺杂于碳纳米管,金属氧化物修饰另一种金属氧化物等。